SUM-TM0m0 Ver 1.0の仕様および技術情報
測定対象
誘電体丸棒の軸方向の複素比誘電率および液体試料
測定範囲・測定精度
| 周波数f | 1GHz 〜 30GHz |
| 比誘電率εrn | 1.1 〜 100, ±(1 〜 5)% |
| 誘電正接 tanδn | 10-2 〜 10-5, ±(10 〜 30)% |
※ 測定モードにTM010モードを使用した場合のデータとなります。
この測定に用いるTM0m0円筒空洞共振器のラインナップ・丸棒試料の必要寸法
円筒空洞共振器は、異なる測定周波数帯ごとに、合計3種類用意致しました。
| 測定用円筒空洞 | TM010モード(GHz) | TM020モード(GHz) | TM030モード(GHz) | TM040モード(GHz) |
| 3GHz空洞 | 3 | 6.9 | 10.8 | 14.7 |
| 4.5GHz空洞 | 4.5 | 10 | 16 | - |
| 8GHz空洞 | 8 | 18 | 29 | - |
丸棒試料の必要寸法は、直径d1は3mm以下、長さは50mm以上です。
※ お客様のニーズに応じて、1GHz、2GHz 空洞等もご用意致します。
TM0m0円筒空洞共振器の構造

TM0m0円筒空洞共振器の外観と周波数依存性の測定結果例

側面の外観
上面の外観

厳密解析に基づく石英ガラス丸棒試料の
周波数依存性の測定結果
(3GHz/4.5GHz/8GHz 各空洞共振器の
共振モード毎の測定値の差)
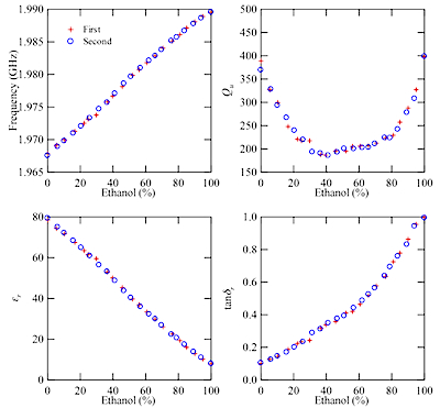
厳密解析に基づく液体の複素誘電率の測定結果
(純水に対するエタノール濃度の例)
本製品にご興味、ご関心をお持ちでしたら、お気軽に info@sumtec.biz まで、メールにてお問い合わせ下さい。